Los humanos, junto a uno pocos mamíferos más, somos incapaces de sintetizar la vitamina C.
Como la vitamina C es un nutriente esencial en una dieta equilibrada, así nuestro cuerpo se desarrolla y crece con normalidad, debemos incluirla en nuestra dieta a través de los alimentosque la contengan. ¿Sabría decirme qué alimentos contienen vitamina C?
Otra opción es recurrir a suplementos dietéticos, alimentos enriquecidos o fortificados que contengan dicho micronutriente, normalmente de origen sintético. ¡Oh! ¡Sorpresa! bueno ¿o no?
¿Existe alguna diferencia entre la vitamina C natural y la vitamina C sintética?¿Serías capaces de diferenciarlas? ¿Sabrías decirme cuáles son los alimentos con vitamina C? ¿Cómo sintetiza la vitamina C la industria química/farmaceútica?
Hoy aquí, en De Ciencias, explicaremoscómo obtiene la vitamina C la industria química/farmacéutica, para qué sirve en nuestro organismo y si es capaz de, por ejemplo, prevenir o curar los resfriados.
Si todavía no eres Cientuqui te invito a suscribirte a YOUTUBE y darle a la campanita, así no te perderás ningún vídeo
Ponte cómodo que … ¡Comenzamos!
VITAMINA C ¿Me ayuda o me perjudica? ¿Sabes cómo se sintetiza?
Bienvenidos a un nuevo vídeo De Ciencias.. Si todavía no nos conocemos me presento, soy Mónica Blanco y cada semana tenemos una cita aquí en De Ciencias.
¿Qué es el ácido ascórbico (Vitamina C) y para qué sirve?
Como la vitamina C o ácido ascórbico es un nutriente esencial en una dieta equilibrada, así nuestro cuerpo se desarrolla y crece con normalidad, debemos incluirla en nuestra dieta a través de los alimentos que la contengan.
La única vitamina C que podemos garantizar que sea de origen natural es la vitamina C presente por ejemplo en alimentos como las verduras y hortalizas y las frutas, fuentes principales de dicha vitamina.
Para que se entienda todo un poco mejor, vamos a comenzar aclarando conceptos:
- La vitamina C sintética es aquella que se obtiene mediante síntesis química y/o fermentación.
- La vitamina C natural es aquella que está presente en los alimentos recogidos directamente de huerta, estamos hablamos de las verduras, hortalizas y frutas, fuentes principales de dicha vitamina.
Para la industria farmacéutica y alimentaria es menos costoso producir la vitamina C sintética que aislarla de los alimentos, de esta manera se consigue asegurar la pureza del componente químico.
¿Serías capas de diferenciar la vitamina C sintética de la vitamina C natural?
No, no seríamos capaces, ni nosotros ni nuestro cuerpo, son moléculas orgánicas idénticas y sus efectos en el organismo son los mismos.
La vitamina C o ácido ascórbico es una vitamina hidrosoluble conocida por sus efectos antioxidantes. Una vitamina muy importante para la piel, los huesos y los tejidos conectivos como las fibras colágenas.
¿Qué significa que una vitamina sea hidrosoluble? Significa que es una vitamina soluble en agua, no se acumula en el organismo y se excreta con facilidad a través de la orina.
Además, la vitamina C es una vitamina sensible al oxígeno y a temperaturas elevadas (termolábil), se degradan con facilidad, de ahí que muchas veces escuchemos de nuestras madres ¡Bebe el jugo rápido que se le van las vitaminas! Tranquilos, no se oxida tan rápido, podemos beber el jugo de naranja sin prisas.
Si quieres saber más sobre los mitos de los jugos y las vitaminas no dejes de leer el post de Miguel Ángel Lurueña “Bébete el zumo que se le van las vitaminas” en su blog gominolas de petróleo ¡No tiene desperdicio!
¿Para que sirve el ácido ascórbico o la vitamina C? ¿Para qué lo utiliza la industria?
En la industria alimentaria la vitamina C se usa como conservante para evitar que los alimentos se oxiden e incluso para fortificar determinados alimentos como por ejemplo la leche, los yogures, o los jugos (zumos), con el fin de mejorar así su calidad.
Por otra parte, la industria farmacéutica incluye vitamina C en infinidad de medicamentos antigripales y anticatarrales tan demandados en épocas de resfriados. ¿Realmente la vitamina C es efectiva cuando estamos acatarrados o resfriados?
Siempre hemos escuchado que si tomamos vitamina C prevenimos los resfriados ¿Esa teoría es cierta? Aunque el doble premio nobel Linus Pauling nos lo haya grabado a fuego en nuestra mente, a día de hoy, no hay evidencias científicas de que la vitamina C nos ayude a prevenir o curar los resfriados.
Eso sí, cuando estamos resfriados y tomamos vitamina C ayudarnos a nuestro cuerpo a defenderse de los patógenos, reduciéndose los días de duración o aliviando los síntomas tan desagradables, pero no hay nada garantizado al 100%. Si tienes que estar malo, malo estarás. Ya si eso le pides cuentas a tu sistema inmunitario. Ahí lo dejo.
🧪 ¿Te has perdido el último post de … Un Fisquito de Ciencias? 👇
¿Por qué celebramos el día Mundial de las legumbres?
¿Por qué celebramos el Día Mundial de las Legumbres?...
La Aspirina, aliado de la primera guerra mundial
[Historia de la ASPIRINA -Un Fisco de Ciencias] Piensa un...
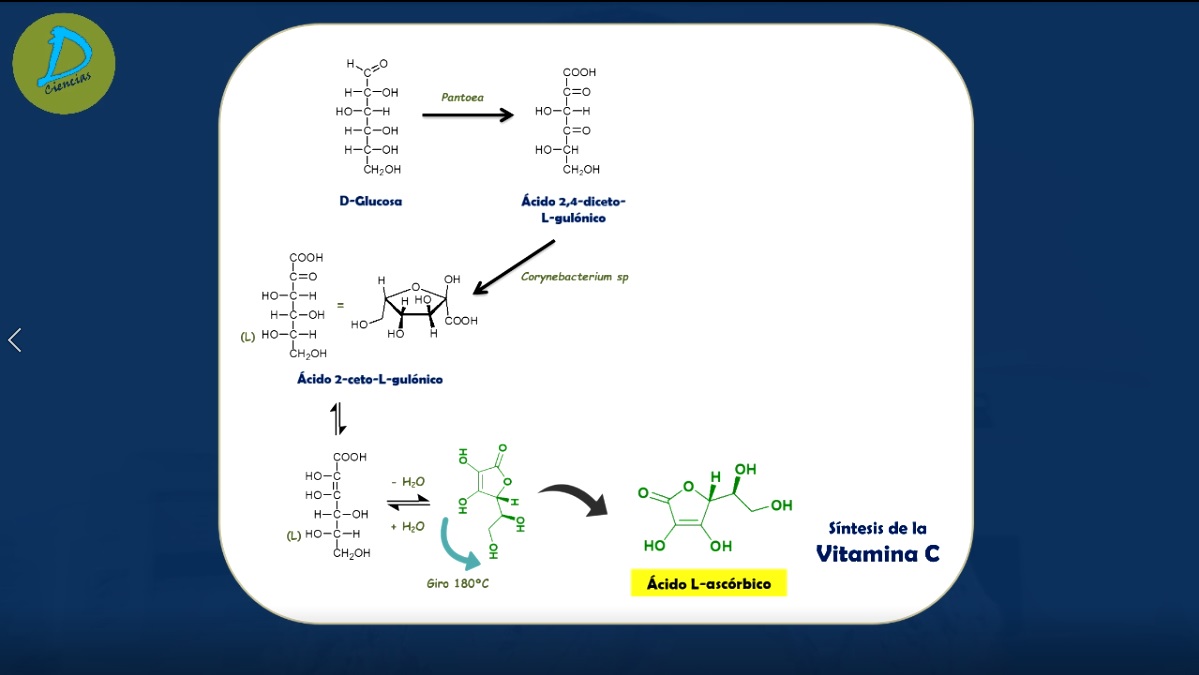
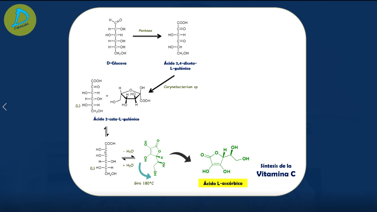
¿Cómo se sintetiza la vitamina C?
La vitamina C, conocida farmacéuticamente como ácido L-ascórbico y químicamente como (R)-3,4-dihidroxi-5-((S)-1,2-dihidroxietil)furano-2(5H)-ona, se sintetiza de manera industrial a partir de la D-glucosa,una molécula orgánica conocida por todos nosotros.
Como curiosidad, muchas especies de mamíferos sintetizan vitamina C a partir de la glucosa. Entonces, ¿por qué no imitar a la naturaleza para obtener la vitamina C sintética?
Así se hizo en 1933, el premio nobel de Fisiología o Medicina Tadeus Reichstein y sus compañeros de laboratorio sintetizaron la vitamina C a partir de la D-glucosa a través de varias etapas.
Síntesis de ácido ascórbico a partir de la D-glucosa.
El método químico, a la vez que microbiano, que se sigue utilizando en la industria para la obtención de vitamina C se conoce por el nombre del proceso de Reichstein-Grüssner, en honor a los investigadores que lo patentaron.
La síntesis industrial del ácido ascórbico es un proceso que consiste en 5 etapas:
1º etapa: la D-glucosa se hidrogena a D-sorbitol, etapa catalizada con níquel raney (catalizador) a presión y temperatura elevada.
2º etapa: el D-sorbitol se oxida selectivamente (deshidrogenación bioquímica selectiva) (30-35ºC) a L-sorbosa mediante la utilización de una bacteria del género acetobacter (acetobacter suboxydans). Este paso es importante desde el punto de vista esteroquímico, ya que se consigue la síntesis de la L-sorbosa y no su otro enantiómero D-sorbosa. Un ejemplo típico de cómo los microorganismos se pueden utilizar en la reacciones industriales orgánicas.
La L-sorbosa, C6H12O6, (3S,4R,5S)-1,3,4,5,6-pentahidroxihexano-2-ona o α-L-sorbofuranos, es un monosacárido (azúcar) perteneciente al grupo de cetosas, concretamente una cetohexosa, ya que su estructura molecular contiene un grupo cetona y seis átomos de carbono) Dicho monosacárido, al igual que le sucede a otros azúcares como la glucosa, la cadena abierta se pliegan sobre si misma de forma espontánea en disolución. Por lo tanto, la ciclación de la sorbosa se produce por la adición del grupo hidroxilo del carbono C5 sobre el carbono C2 de la cetona de la cetosa, dando lugar a la formación de su forma cíclica como hemicetal cíclico.
3º etapa: se hace reaccionar a la L-sorbosa con un exceso de propanona (acetona) catalizada con ácido, permitiendo así que los grupos hidroxilos de los carbonos C2, C3, C4 y C6 queden bloqueados en forma de acetal cíclico de 5 y 6 miembros respectivamente. Como resultado obtenemos la diaceton-L-sorbosa, un diacetónido de la L-sorbosa.
4º etapa: Posteriormente, el único grupo hidroxilo desprotegido es oxidado a ácido utilizando permanganato potásico. (1- oxidación, 2- hidrólisis). Como resultado se obtienen el ácido 2-ceto-L-gulónico.
5º etapa: Finalmente, el grupo hidroxilo del ácido carboxílico del ácido 2-ceto-L-gulónico sufre una reacción de esterificación intramolecular para dar lugar a un éster cíclico conocido como lactona (γ-lactonización) obteniéndose así el ácido ascórbico, la vitamina C. Esta lactonización se produce tras calentar el ácido 2-ceto-L-gulónico con ácidos diluidos.
Utilizando este proceso se puede conseguir sintetizar 1 kg de ácido L-ascórbico a partir de 2 kg de D-glucosa.
Dicho proceso se vendió en 1934 a la empresa farmacéutica Hoffmann-La Roche ¿Les suena la compañía? ¿Y redoxon? ¡Uumm! Hoffmann-La Roche fue la primera empresa en vender productos enriquecidos con ácido ascórbico (vitamina C).
En la actualidad, aunque la síntesis industrial de vitamina C se basa en este proceso, existen procesos más modernos:
1º método: Obtener el ácido 2-ceto-L-gulónico a partir de la oxidación de la L-sorbosa en presencia de catalizadores de paladio y platino (unas sustancias que aceleran la reacción).
2º método:Convertir la D-glucosa directamente en ácido 2-ceto-L-gulónico en tan solo dos etapas
- Primera etapa:La D-glucosa se oxida en presencia de la bacteria del género Pantoea (Pantoea agglomerans o Erwinia herbicola), convirtiendo así la glucosa en el ácido 2,4-diceto-L-gulónico.
- Segunda etapa:La reducción del compuesto dicetónico en el ácido 2-ceto-L-gulónico en presencia de las bacterias del géneroCorynebacterium sp.
Una duda que a muchos les surge es … ¿Puede la vitamina C ser dañina?
La vitamina C puede ser beneficiosa o perjudicial dependiendo de la dosis. Como todo en la vida, existe un punto medio.
Una persona no necesita consumir más de 65 o 90 mg de vitamina C al día, estoy hablando de la cantidad diaria recomendada. Si nos basamos en dicha cantidad diaria recomendada, esa cantidad de vitamina C nos la proporciona las verduras o las frutas como el kiwi, las naranjas, las fresas, el brócoli, el tomate y el pimiento rojo.
(Poner una imagen de las frutas con las cantidades de vitamina C)
¿Cuáles son las 5 frutas que contienen más vitaminas C?
Las 5 frutas que contienen más ácido ascórbico, disponibles en nuestros supermercados, son:
- la guayaba (230 mg)
- el kiwi (90mg)
- el caqui (60 mg)
- la fresa (60 mg)
- la naranja (50 mg)
¿Cuáles son las 5 verduras que contienen más vitamina C?
Las 5 verduras que contienen más vitamina C son:
- el pimiento (190 mg)
- el brócoli o brécol (80mg)
- col de Bruselas (80 mg)
- coliflor (40 mg)
- espinacas (30 mg)
🧪 ¿Te has perdido el último post de … Un Fisquito de Ciencias? 👇
¿Por qué no puedes comer Anacardos CRUDOS?
Los anacardos son unos frutos secos muy utilizados como...
¿Cuántas CALORÍAS y AZÚCARES tienen los dulces navideños?
¿Cuántas calorías tiene la Cena de Navidad? ¿Y los Dulces...
¿Qué sucede si consumimos poca cantidad de vitamina C? ¿Y si consumimos mucha?
Las personas que consumen muy poca vitamina C, por debajo de 10 mg al día, durante un tiempo prolongado, pueden llegar a sufrir una enfermedad producida por el déficit de vitamina C conocida por el nombre de escorbuto.
Dicha enfermedad se caracteriza por dolor articular, mala cicatrización de heridas, hemorragias, etc. Una enfermedad que se evita consumiendo diariamente frutas y verduras.
Por otra parte, un consumo elevado de vitamina C, más de 2000 mg al día, también puede ser perjudicial, puede provocarnos calambres, dolor de cabeza o malestar intestinal (diarreas o vómitos).
En el caso concreto de los deportistas, puede llegar a ser necesario un consumo mayor de antioxidantes como la vitamina C, ya que la práctica de actividad deportiva intensa provoca un mayor oxidación y formación de radicales libres, es decir, un mayor desgaste y este tipo de vitamina les ayuda.
¿Para qué sirve la vitamina C (ácido ascórbico) en nuestro organismo?
La vitamina C es una molécula orgánica que interviene en numerosos procesos metabólicas como en:
- El metabolismo de lípidos y vitaminas
- La absorción de hierro
- La producción de colágeno
- La síntesis de neurotransmisores y de hormonas
Incluso es importante para los tejidos, los huesos, la piel, el sistema inmunitario, para promover la cicatrización de heridas, reducir la acción perjudicial de los radicales libres, etc.
¿Qué conclusiones sacamos de todo esto?
Pues que nuestro cuerpo necesita vitamina C y la podemos encontrar en las frutas, vegetales y hortalizas sin tener que gastar un duro más. ¡PON FRUTAS Y VERDURAS EN TU VIDA!
La Sociedad Española de Nutrición Comunitaria (SENC) siempre nos ha recomendado consumir 3 o más piezas de fruta al día, preferentemente frescas., y que una de ellas sea una fruta rica en vitamina C: cítricos, kiwis, fresas. ¡Ahora ya entiendes uno de los motivos por lo que lo hacen!
Nota: Cuando la vitamina C se añade como aditivo la podemos identificar con el número E-300 y a sus sales de sodio, potasio y calcio con el número E-301 (ascorbato de sodio), E-302 (ascorbato de calcio) y como E-303 (ascorbato de potasio).
Tanto el ácido eritórbico o eritorbato E-315 (antiguamente llamado ácido isoascórbico) como el ácido L- ascórbico se utilizan en alimentación como ingredientes debido a sus actividades oxidantes y reductoras. El primero, el ácido isoascórbico, no tiene propiedades nutritivas, solo conservantes (Fennema, 2000, 634, Fennema, Owen R. (2000). Química de los alimentos. Zaragoza: Editorial Acribia).
NO te olvides de suscribirte a Youtube y dale a la campanita
Sigue a De Ciencias en las Redes Sociales, no te olvides
Un abrazo muy fuerte Cientuquis ¡Chao!
💥 Déjame tu comentario 💥
¡ME QUIERO ENTERAR!

Creación, Redacción y Edición del Vídeo: Mónica Blanco
#VitaminaC #FrutayVerduas #LaVitaminaCNoCuraResfriados #SíntesisdelaVitaminaC
#UnFisquitoDeCiencias #DivulgacióndelaCiencia #DivulgaciónCientífica #CulturaCientífica #Ciencia #MónicaBFreijo
📚 REFERENCIAS (Fuentes):
Vitamin C
https://ods.od.nih.gov/factsheets/VitaminC-Consumer/
Libro: Medicamentos, Enrique Raviña Rubina, Universidad de Santiago de Compostela, página 801, ISBN 978-84-9887-007-7
Productive synthesis of l-ascorbic acid, vitamin C https://onlinelibrary.wiley.com/doi/abs/10.1002/hlca.19340170136
Oxidación directa de L-sorbosa a ácido 2-ceto-L-gulónico con oxígeno molecular en catalizadores basados en platino y paladio. Journal of Catalysis, 1994, 150 (1), 199-211 https://www.sciencedirect.com/science/article/pii/S0021951784713364
Libro: Industrial Organic Chemicals, Harolda A. Wittcoff, Bryan G. Reuben, Jeffrey S. Plotkin, editorial wiley ISBN 978-0-470-53743-5 Tadeus Reichstein https://es.wikipedia.org/wiki/Tadeus_Reichstein
Proceso de Reichstein
https://es.wikipedia.org/wiki/Proceso_de_Reichstein
DeCiencias está distribuido bajo una Licencia Creative Commons Atribución-NoComercial-SinDerivar 4.0 Internacional
(CC BY-NC-ND 4.0)
¿Te pica la CURIOSIDAD? 👇
¿Por qué celebramos el día Mundial de las legumbres?
¿Por qué celebramos el Día Mundial de las Legumbres?...
¿Por qué se celebra el Día Internacional de la Mujer y la Niña en la Ciencia?
Cada 11 de febrero se celebra en todo el mundo un día muy...
Las agujetas musculares, ¿qué son y cómo aliviarlas?
Esta semana me gustaría hablarte de uno de los mitos más...
¿Me sigues?
¿Te GUSTARÍA llevar algo De Ciencias ? Entra en … ⚗️ 👇
Tienda Online de Regalos Ciencias
¡No te lo pierdas!















